Banner 0
Banner 1
Banner 2
Banner 3
Banner 4
Banner 5
Banner 6
Banner 7
Banner 8
Banner 9

Q.

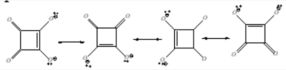
How many resonating structures are possible for the squaric acid dianion?
Question Image

see full answer

Your Exam Success, Personally Taken Care Of

1:1 expert mentors customize learning to your strength and weaknesses – so you score higher in school , IIT JEE and NEET entrance exams.
An Intiative by Sri Chaitanya

answer is 4.

(Unlock A.I Detailed Solution for FREE)

Best Courses for You

JEE

JEE

NEET

NEET

Foundation JEE

Foundation JEE

Foundation NEET

Foundation NEET

CBSE

CBSE

Detailed Solution

detailed_solution_thumbnail

The squaric acid dianion, also called the squarate ionC4O42−, has six valid resonance (canonical) structures.

 

Squarate is a four-membered ring with four carbonyl groups. In the dianion two oxygens carry a negative charge (O⁻) and two oxygens are neutral carbonyl oxygens (C=O). Resonance lets the two negative charges move around the ring through π bond shifts. Every canonical form places the two charges on a particular pair of oxygens while keeping octets satisfied and the ring connectivity unchanged.

ItemValue
SpeciesSquarate ion, C4O42−
Atoms that can hold chargeFour equivalent oxygens
Charge placements per formChoose any two oxygens
CombinatoricsC(4,2) = 6
Total resonance structures6

Question Image

Watch 3-min video & get full concept clarity
score_test_img

courses

No courses found

Ready to Test Your Skills?

Check your Performance Today with our Free Mock Test used by Toppers!

Take Free Test

Get Expert Academic Guidance – Connect with a Counselor Today!

best study material, now at your finger tips!

  • promsvg

    live classes

  • promsvg

    progress tracking

  • promsvg

    24x7 mentored guidance

  • promsvg

    study plan analysis

download the app

gplay
mentor

Download the App

gplay
whats app icon
personalised 1:1 online tutoring