Banner 0
Banner 1
Banner 2
Banner 3
Banner 4
Banner 5
Banner 6
Banner 7
Banner 8
Banner 9

Q.

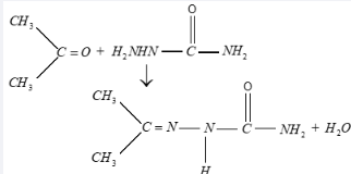
The number of nitrogen atoms in a semicarbazone molecule of acetone is ___.

see full answer

Your Exam Success, Personally Taken Care Of

1:1 expert mentors customize learning to your strength and weaknesses – so you score higher in school , IIT JEE and NEET entrance exams.
An Intiative by Sri Chaitanya

answer is 3.

(Unlock A.I Detailed Solution for FREE)

Best Courses for You

JEE

JEE

NEET

NEET

Foundation JEE

Foundation JEE

Foundation NEET

Foundation NEET

CBSE

CBSE

Detailed Solution

detailed_solution_thumbnail

The number of nitrogen atoms in a semicarbazone molecule of acetone is 3. There are three nitrogen atoms in a single molecule of acetone semicarbazone.

Question Image

Watch 3-min video & get full concept clarity
score_test_img

courses

No courses found

Ready to Test Your Skills?

Check your Performance Today with our Free Mock Test used by Toppers!

Take Free Test

Get Expert Academic Guidance – Connect with a Counselor Today!

best study material, now at your finger tips!

  • promsvg

    live classes

  • promsvg

    progress tracking

  • promsvg

    24x7 mentored guidance

  • promsvg

    study plan analysis

download the app

gplay
mentor

Download the App

gplay
whats app icon
personalised 1:1 online tutoring