Banner 0
Banner 1
Banner 2
Banner 3
Banner 4
Banner 5
Banner 6
Banner 7
Banner 8
Banner 9

Q.

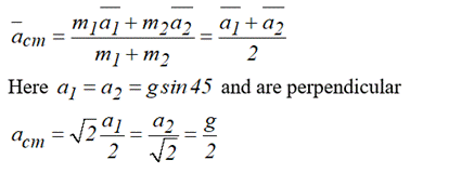
Two smooth inclined planes joined back to back are inclined to the horizontal at an angle 45 as shown in the figure. Two identical blocks each of mass (m) slide down from the highest points simultaneously. The acceleration of the centre of mass of the two block system is ( g = acceleration due to gravity) 

Question Image        

see full answer

Your Exam Success, Personally Taken Care Of

1:1 expert mentors customize learning to your strength and weaknesses – so you score higher in school , IIT JEE and NEET entrance exams.
An Intiative by Sri Chaitanya

a

g2

b

g

c

g2

d

g4

answer is C.

(Unlock A.I Detailed Solution for FREE)

Best Courses for You

JEE

JEE

NEET

NEET

Foundation JEE

Foundation JEE

Foundation NEET

Foundation NEET

CBSE

CBSE

Detailed Solution

detailed_solution_thumbnail

Question Image

Watch 3-min video & get full concept clarity
score_test_img

courses

No courses found

Ready to Test Your Skills?

Check your Performance Today with our Free Mock Test used by Toppers!

Take Free Test

Get Expert Academic Guidance – Connect with a Counselor Today!

best study material, now at your finger tips!

  • promsvg

    live classes

  • promsvg

    progress tracking

  • promsvg

    24x7 mentored guidance

  • promsvg

    study plan analysis

download the app

gplay
mentor

Download the App

gplay
whats app icon
personalised 1:1 online tutoring